Compute effective size of molecule (collision diameter) or molecular area tools

           The tools "Tools/Calculate effective size or area of current molecule" allow you to calculate the size of your molecule and area of its parts. For computing the size, the program finds a parallelepiped with the lowest volume fitting all atoms in the molecule (more exactly, the spheres around the atoms with the radii equal the van-der-waals radii of these atoms). Possibly most useful application of these tools is the possibility to calculate the collision diameter.  

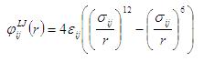
The collision diameters should be identified as the value from σij, from the well-known Lennard-Jones potential:

 

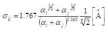
 Where i=j (collision of two similar molecules).  It is considered, that the linear size of the electronic density of an atom is approximately proportional to α1/3, where α is the static polarizability of this atom [1].  The following formula was proposed in the work of Cambi [2]. For collisions of atoms with other atoms, their collision diameter σij can be computed from their isotropic static polarizability:

 

  When two atoms of similar type collide, the value σ can be computed as follows:

This hypothesis works well for atoms, but for molecules their geometrical structure should be also considered.  In the work of Sharipov [3] a new approach was proposed and tested: around each atom in the molecule, a sphere is built with the radius equal to the collision radius of this atom (σii). Then, a parallelepiped is built around these spheres, so that the volume of this parallelepiped is minimal:

 

  The collision diameter of the molecule is computed as the cubic root of A*B*C.  In previous versions of Chemcraft (780 and earlier), this tool used the radii of atoms equal the collision diameters from the works of Sharipov; it is not very easy to cite these data, because these collision diameter were not published in a single paper. In the version b802 and further versions, this utility uses the standard values of van-der-waals radii of atoms; the user can choose one of several sources of these radii, by default it is the work of Alvarez (2013) [5]. These values are not worse for the computation of collision diameters. than the values used in previous versions. With these radii, we have calculated the collision diameters for some molecules:

Molecule

Calculated σ

Experimental σ

Ref (experimental σ)

C2H4

4,0515

3,971

[4]

C2H5OH

4,85925

4,53

[4]

C3H8

5,04078

4,982

[4]

CF4

4,455

4,662

[4]

CH2O

3,95528

3,59

[4]

CH3OH

4,22669

3,626

[4]

CH4

3,66079

3,746

[4]

H2O

3,34796

2,605

[4]

H2O2

3,69248

3,458

[4]

H2S

3,85857

3,6

[4]

HCl

3,73898

3,339

[4]

HCN

3,98745

3,63

[4]

HF

3,10173

3,148

[4]

Benzene

5,59019

5,29

[4]

Toluene

6,05221

5,68

[4]

Azulene

6,38871

6,39

[4]

Naphthalene

6,20698

6,18

[4]

Biphenyl

6,89078

6,31

[4]

Anthracene

6,72162

6,96

[4]

Phenantrene

6,90753

6,96

[4]

Pyrene

7,05073

7,24

[4]

Chrysene

7,31053

7,64

[4]

Coronene

7,83021

8,16

[4]

  The correlation between calculated and experimental values of the collision diameters is the following:

 The correlation coefficient here is 0.9868. We think that this this correlation is sufficient, taking into account that the experimental values of the diameters can be different with different methods of investigation (molecular beams, by viscosity, by diffusion).

  If you want to use the previous values of the atomic radii to get full compatibility with the results produced by old versions of Chemcraft, choose "Calculate effective size or area.../Set default table.../Collisional radii from Sharipov...". For citing these previous values, you should cite several works, including the work of Cambi[2] and Sharipov [3] (because there is no published paper with summarized collision diameters, you can manually compute them using the data in these two papers), or maybe cite Chemcraft. Anyway, the radii in different tables differ only slightly so all this is not really important.

References:

[1] Purcell, E. Electricity and magnetism: Berkeley physics course. Cambridge , UK : Cambridge University Press, 2011, 484

[2] Cambi, R.; Cappelletti, D.; Liuti, G. & Pirani, F. Generalized correlations in terms of polarizability for van der Waals interaction potential parameter calculations. J. Chem. Phys., 1991, 95, 1852-1862

[3] Sharipov, A. S.; Loukhovitski, B. I.; Tsai, C.-J. & Starik, A. M. Theoretical evaluation of diffusion coefficients of (Al2O3)n clusters in different bath gases Eur. Phys. J. D, 2014, 68, 99

[4] H. Wang, M. Frenklach, Combust. Flame 96, 163 (1994)  

[5] S. Alvarez (2013). "A cartography of the van der Waals territories". Dalton Trans. 42 (24): 8617-36. doi:10.1039/C3DT50599E. hdl:2445/48823. PMID 23632803. https://en.wikipedia.org/wiki/Van_der_Waals_radius

Computing the molecular area

  Chemcraft can also compute the area in a specified direction, filled with the atoms in your molecule, more exactly the spheres with the van-der-waals radii:

  For using this utility, you need to firstly select the atoms in your molecule which define the plane of interest.

 

 

BACK